Preguntas y respuestas correas síncronas y poleas dentadas para correas

Hemos publicado preguntas frecuentes de nuestros clientes en formato de preguntas y respuestas. Haga clic en la pregunta para acceder a la respuesta.

Correas Síncronas

Palabras en preguntas y respuestasde

Q1 ¿Por qué se aplica tensión a correas síncronas cuando se instala?
Q2 ¿Cómo aplicar tensión de instalación?
Q3 ¿Cómo puedo comprobar tensión de instalación?
Q4 ¿Dónde se debe medir tensión de instalación?
Q5 ¿Cuál es la tensión de instalación?
Q6 ¿Es necesario alinear poleas dentadas para correas?
Q7 ¿Qué es el estiramiento correas síncronas?
Q8 ¿Cuándo llega al final de su vida útil correas síncronas?
Q9 ¿Es posible detectar el final de la vida útil de correas síncronas antes de que se rompa?
Q10 ¿Cuánto dura correas síncronas?
Q11 ¿Por qué se requieren seis o más dientes de engranaje?
Q12 ¿Qué significan las partes coloreadas en tabla de ratio de kW?
Q13 ¿Qué precauciones debo tomar al usar un servomotor?
Q14 ¿Es posible fabricar anchos distintos a los anchos estándar que figuran en el catálogo?
Q15 ¿Cuál es el ancho mínimo que se puede producir?
Q16 ¿Es posible fabricar correas con longitudes que no figuren en el catálogo?
Q17 ¿El Correa Ultra PX” es eficaz contra todo tipo de aceite?
Q18 ¿Se puede utilizar en un entorno aceitoso o húmedo?
Q19 ¿Cuál es la temperatura ambiente a la que se pueden utilizar correas síncronas?
Q20 ¿Es compatible con los productos de otras compañías?
Q21 ¿Qué precauciones debo tomar antes de usarlo?
Q22 ¿A qué debo prestar atención al instalar correas síncronas en poleas dentadas para correas?
Q23 ¿Qué precauciones debo tomar al usar correas síncronas?
Q24 ¿Qué precauciones debo tomar al almacenar correas síncronas?
Q25 ¿Qué tipo de ruido?
Q26 ¿Qué se puede hacer para reducir el ruido?
Q27 ¿Cumple con la directiva RoHS?
Q28 ¿Cuál es la eficiencia de transmisión de correas síncronas?
Q29 Rotura prematura correas síncronas
Q30 Dientes correas síncronas desgastados
Q31 Correas síncronas saltó dientes.
Q32 Fallo correas síncronas
Q33 Desgaste lateral correas síncronas
Q34 Arañazos verticales en correas síncronas
Q35 correas síncronas parcialmente cortada
Q36 Hinchazón correas síncronas
Q37 Aparente estiramiento de correas síncronas
Q38 Pegajosidad o ablandamiento de la goma en la parte posterior de correas síncronas
Q39 Desgaste de la goma trasera correas síncronas
Q40 Grietas en la goma detrás correas síncronas
Q41 Desgaste de los dientes poleas dentadas para correas

tensiómetro

Q42 ¿Cuál es el rango medible?
Q43 Me gustaría probarlo antes de comprarlo, ¿ofrecen alquileres?
Q44 ¿Puedes revisarlo?
Q45 ¿Cuál es el período de calibración adecuado?

Abrazadera de cinturón

Q46 ¿De qué material está hecho?
Q47 ¿Pueden fabricar productos a medida que no figuren en el catálogo?
A la respuesta
Q1 ¿Por qué se aplica tensión a correas síncronas cuando se instala?
A1

En la transmisión correas síncronas, la línea central de paso donde actúa la fuerza está fuera de la punta de poleas dentadas para correas, por lo que la transmisión es posible aplicando la tensión adecuada.

Para aplicaciones normales de transmisión de potencia, se recomienda ajustar tensión de instalación según el valor recomendado que figura en el catálogo.

Asimismo, si la precisión de posicionamiento es importante para su aplicación, aumente el valor, pero sin exceder el valor máximo que figura en el catálogo.

Si ajusta tensión de instalación por debajo del valor recomendado debido a las condiciones de carga o del equipo, compruebe que esto no aumente la vibración o el ruido, ni cause problemas de transmisión como el salto de dientes.

Si tensión de instalación es demasiado alta o demasiado baja, puede provocar una falla prematura de correas síncronas.

Volver a las preguntas
Q2 ¿Cómo aplicar tensión de instalación?
A2

Es preferible ajustar moviendo uno de los ejes, pero también es posible disponer de una rueda tensora para el ajuste.

Como regla general, la polea tensora debe instalarse en el lado flojo de correas síncronas para que pueda fijarse después del ajuste.

Volver a las preguntas
Q3 ¿Cómo puedo comprobar tensión de instalación?
A3
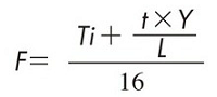
  1. ① Uso del medidor de tensión de correa Tsubaki T-ACE

    Puede comprobar la tensión de forma fácil y precisa utilizando el medidor de tensión de correas Tsubaki T-ACE , un medidor de tensión de correas ultrasónico que mide la frecuencia natural de la correa.

  2. ②Puede comprobarlo presionando correas síncronas y viendo la cantidad de deflexión que se produce.
    1. Determina con precisión el paralelismo de todos los ejes, incluidos los ejes intermedios, y la alineación de las poleas.
    2. Se aplica Fuerza de presión (F) al centro del tramo de correas síncronas.
    3. Aplique tensión de manera que correas síncronas (δ) sea de 1,6 mm por cada 100 mm de longitud.
tensión de instalación
[Haga clic para ampliar]
  • tensión de instalación
    tensión de instalación
    F: Fuerza de presión N{kgf} necesaria para la deflexión (δ) en el centro del vano t
  • Ti: tensión de instalación N{kgf}
  • Y: Coeficiente de corrección
  • δ: Deflexión mm=0,016t
  • t: longitud del tramo (mm)
  • C: Distancia entre centros (mm)
  • Dp: Diámetro del círculo primitivo de la polea grande (mm)
  • dp: Diámetro del círculo primitivo de la polea pequeña (mm)
  • L: Longitud de la correa (mm)
Volver a las preguntas
Q4 ¿Dónde se debe medir tensión de instalación?
A4

Para dos ejes (dos poleas dentadas para correas), mida en el centro del tramo.

En el caso de ejes múltiples (tres o más poleas dentadas para correas /tensores), mida en el punto con la mayor longitud. Esto permitirá obtener mediciones más estables.

Volver a las preguntas
Q5 ¿Cuál es la tensión de instalación?
A5

Es posible reducir tensión de instalación hasta un nivel en el que no se produzcan saltos de dientes. La frecuencia de estos saltos varía según las condiciones de funcionamiento, por lo que se recomienda consultar las especificaciones de la máquina.

Volver a las preguntas
Q6 ¿Es necesario alinear poleas dentadas para correas?
A6

Aunque correas síncronas poleas dentadas para correas de distribución esté correctamente alineada, la correa de distribución no circula por el centro de poleas dentadas para correas, sino que tiende a inclinarse hacia un lado.

Aunque esta fuerza es muy débil, si poleas dentadas para correas no está correctamente alineada, puede pasar muy cerca del borde de poleas dentadas para correas y presionarse con fuerza contra la brida guía, pudiendo dañarla o cortarla.

Además, la brida guía podría desprenderse.

Ajuste poleas dentadas para correas dentro de las tolerancias indicadas en la tabla siguiente.

Tamaño del cinturón Todas las variedades
Ancho de la correa en mm 30 o menos 30~50 50~100 Más de 100
Paralelismo admisible 5/1000 o menos 4/1000 o menos 3/1000 o menos 2/1000 o menos
θ minutos 17 años o menos 13 o menos 10 o menos 6 o menos

プーリ調整方法
[Haga clic para ampliar]

■ Método de ajuste de poleas

Como se muestra en la figura, se coloca un borde recto sobre la polea de referencia y las otras poleas se ponen en contacto con toda la superficie del borde recto (ε = 0), lo que permite alinear las poleas en la posición correcta.

Además, al mantener δ en la figura por debajo del límite, es posible lograr simultáneamente el paralelismo del eje.

プーリ調整方法
[Haga clic para ampliar]

Volver a las preguntas
Q7 ¿Qué es el estiramiento correas síncronas?
A7

En correas síncronas pueden producirse dos tipos de estiramiento.

  1. ① Alargamiento elástico (alargamiento bajo carga)

    Se trata de un estiramiento reversible que se produce al aplicar una carga a correas síncronas. Recupera su forma original al retirar la carga.

  2. ② Alargamiento permanente (alargamiento operativo)

    Este estiramiento no vuelve a su estado original incluso después de eliminar la carga sobre correas síncronas. Se debe principalmente al rodaje inicial y al desgaste.

Volver a las preguntas
Q8 ¿Cuándo llega al final de su vida útil correas síncronas?
A8

En una correas síncronas mal seleccionada, el revestimiento dentado se desgasta y, finalmente, los dientes de la correa se caen.

Además, si el diámetro de poleas dentadas para correas es pequeño o si hay muchas curvas en la disposición multieje, el cable central puede fatigarse debido a la flexión y romperse.

Como se muestra arriba, correas síncronas llega al final de su vida útil cuando pierde su capacidad de engranar con precisión con poleas dentadas para correas y transmitir potencia.

Inspeccione correas síncronas regularmente y, si encuentra alguna anomalía como arañazos en el exterior o desgaste en la tela dentada, reemplácela antes de que se pierdan los dientes o correas síncronas rompa.

Volver a las preguntas
Q9 ¿Es posible detectar el final de la vida útil de correas síncronas antes de que se rompa?
A9

El final de la vida puede manifestarse como vibraciones o ruidos, pero estos pueden ser sutiles y difíciles de detectar con antelación.

Inspeccione correas síncronas regularmente y, si observa algún arañazo u otra anomalía o desgaste en la tela dentada, cámbiela antes de que los dientes de la correa se rompan o se pierdan.

Con la correa Tsubaki Ultra PX, el desgaste de la tela dentada se puede confirmar fácilmente por la goma expuesta, lo que facilita determinar cuándo es necesario reemplazarla.

Antes de usar

Antes de usar

Después de su uso

Después de su uso
Volver a las preguntas
Q10 ¿Cuánto dura correas síncronas?
A10

correas síncronas no son de metal y, por lo tanto, no tienen un límite de fatiga. Con el uso, sufren fatiga y desgaste, lo que finalmente provoca su rotura.

Además, dado que el período de durabilidad varía considerablemente según las condiciones y el modo de uso, es muy difícil determinar cuándo se alcanzará su vida útil.

Recomendamos sustituir el filtro cada 5 años como máximo, teniendo en cuenta el envejecimiento del material.

Volver a las preguntas
Q11 ¿Por qué se requieren seis o más dientes de engranaje?
A11

A diferencia de las cadenas o engranajes metálicos, los dientes correas síncronas están hechos de caucho recubierto de nailon, por lo que no son adecuados para transmitir potencia con un solo diente; se requieren varios dientes para soportar la carga. Si hay menos de seis dientes engranados con poleas dentadas para correas, la carga por diente será excesiva y podría provocar el astillamiento de los dientes.

Si el número de dientes que engranan es 5 o 4, agregue el "coeficiente de corrección de engranaje" que aparece en el catálogo al realizar su selección.

Para las poleas motrices, considere utilizar un mínimo de seis dientes de engranaje con un ángulo de engranaje de 120 grados o superior.

Volver a las preguntas
Q12 ¿Qué significan las partes coloreadas en la tabla de ratio de kW del catálogo?
A12

Esta combinación requiere que la polea de diámetro pequeño gire a alta velocidad, lo que acelera la fatiga por flexión del alambre central dentro de correas síncronas y acorta su vida útil, por lo que se recomienda evitar su uso.

Volver a las preguntas
Q13 ¿Qué precauciones debo tomar al usar un servomotor?
A13

Si correas síncronas es alta, puede ocurrir lo siguiente:

  1. ①La tensión centrífuga generada en correas síncronas puede reducir la capacidad de transmisión de potencia.
  2. ②La esperanza de vida puede acortarse.
  3. 3) Si poleas dentadas para correas supera los 33 m/s, pueden producirse descentramiento y vibraciones, por lo que debe asegurarse de mantener el equilibrio.

Al seleccionar correas síncronas, le recomendamos que tenga en cuenta el par motor en función de las características del servomotor.

Volver a las preguntas
Q14 ¿Es posible fabricar anchos distintos a los anchos estándar que figuran en el catálogo?
A14

Podemos fabricar cinturones con un ancho determinado, así que póngase en contacto con nuestro servicio de atención al cliente o con un distribuidor.

Volver a las preguntas
Q15 ¿Cuál es el ancho mínimo que se puede producir?
A15

La recomendación es que sea 1,5 veces la altura total de correas síncronas, pero esto varía según el modelo, así que póngase en contacto con nuestro centro de atención al cliente o con un distribuidor.

Volver a las preguntas
Q16 ¿Es posible fabricar correas con longitudes que no figuren en el catálogo?
A16

Dado que correas síncronas sin fin se fabrican utilizando moldes, no podemos fabricar longitudes de correa que no figuren en el catálogo.

Volver a las preguntas
Q17 ¿El Correa Ultra PX” es eficaz contra todo tipo de aceite?
A17

La resistencia al aceite de la "Correa Ultra PX" se basa en los resultados de varias pruebas realizadas por nuestra empresa utilizando aceites lubricantes generales y aceites de corte, por lo que no garantizamos la resistencia a todo tipo de aceite o condiciones de uso.

Por favor, compruebe el equipo real o póngase en contacto con nosotros para comprobar si es adecuado para un tipo de aceite o condiciones de funcionamiento determinadas.

Volver a las preguntas
Q18 ¿Se puede utilizar en un entorno aceitoso o húmedo?
A18

Por lo general, si entra aceite o agua en contacto con correas síncronas, esta se hinchará y no engranará correctamente con poleas dentadas para correas, lo que provocará una disminución de la capacidad de transmisión y daños prematuros. En particular, las correas de distribución no deben utilizarse sumergidas en aceite o agua.

Ofrecemos una línea de "Especificación Correa Ultra PX resistente al aceite" y "Especificación de Correa PX resistente al agua" que tienen una durabilidad mejorada en entornos con aceite o neblina de agua.

Volver a las preguntas
Q19 ¿Cuál es la temperatura ambiente a la que se pueden utilizar correas síncronas?
A19

Utilice en un entorno normal de -15 ℃ a 80 ℃. Existen correas síncronas que pueden utilizarse hasta 90 ℃ en determinadas condiciones.

Para obtener más detalles, póngase en contacto con nuestro servicio de atención al cliente.

Volver a las preguntas
Q20 ¿Es compatible con los productos de otras compañías?
A20

El "perfil de diente PX" es un perfil de diente exclusivo nuestro y no es compatible con los perfiles de dientes de otras compañías, por lo que debe utilizarse en combinación con una poleas dentadas para correas Tsubaki.

Volver a las preguntas
Q21 ¿Qué precauciones debo tomar antes de usarlo?
A21

Los puntos importantes a tener en cuenta se enumeran en el catálogo "Transmisión correas síncronas". Asegúrese de leer la página del "Manual de instrucciones" antes de usar el producto.

Volver a las preguntas
Q22 ¿A qué debo prestar atención al instalar correas síncronas en poleas dentadas para correas?
A22

correas síncronas no se estiran aunque se les aplique fuerza.

Al instalarlo en poleas dentadas para correas, mueva el eje de la polea y el eje loco antes de la instalación.

Forzar poleas dentadas para correas sobre la brida guía puede provocar un accidente, así que por favor, evítelo.

En las transmisiones de dos ejes que no utilizan poleas intermedias, deje cierto margen de ajuste para la distancia entre los ejes.

■ Ajuste la distancia entre los dos ejes

Unidad: mm
Longitud del cinturón tipos
P2M・P3M・P5M
UP3M・UP5M
P8M・P14M
UP8M・UP14M
△Co Menos de 500 3 3
500~1000 5 5
1001~2000 10 10
Más de 2000 15 15
△Ci común 10 15
Ajusta la distancia entre los dos ejes.
[Haga clic para ampliar]
Volver a las preguntas
Q23 ¿Qué precauciones debo tomar al usar correas síncronas?
A23

Utilizar en un ambiente limpio.

Si la correa se va a utilizar en un entorno polvoriento donde pueda estar expuesta a grandes cantidades de agua, aceite o disolventes, proteja correas síncronas y la polea con una cubierta. Considere usar la "Especificación de resistencia al aceite Correa Ultra PX" en entornos con mucha humedad o aceite en el aire, y la "Especificación de resistencia al agua Correa PX" en entornos con mucha humedad.

Volver a las preguntas
Q24 ¿Qué precauciones debo tomar al almacenar correas síncronas?
A24
  1. 1. Almacenar en un lugar seco a una temperatura entre -10 °C y 40 °C. Evitar la luz solar directa.
  2. 2. No doble correas síncronas a diámetros pequeños. Si las dobla, se romperán los alambres internos del núcleo, lo que afectará significativamente su rendimiento. El diámetro máximo de doblado es cuatro veces el paso.
曲げ限度の直径はピッチの4倍です。
Volver a las preguntas
Q25 ¿Qué tipo de ruido?
A25

Generalmente, es lo siguiente:

  1. ① El ruido de impacto que se produce cuando la parte inferior de los raíz del diente correas síncronas golpea la parte superior de los dientes poleas dentadas para correas.
  2. ② Ruido de vibración correas síncronas
  3. 3) Ruido de fricción causado por correas síncronas contra poleas dentadas para correas.
  4. 4) Ruido por fricción producido cuando el lateral de correas síncronas roza contra la brida guía de poleas dentadas para correas
  5. ⑤ Cuando correas síncronas y poleas dentadas para correas están acopladas, se produce un ruido de descarga de aire cuando el aire se descarga de poleas dentadas para correas.
Volver a las preguntas
Q26 ¿Qué se puede hacer para reducir el ruido?
A26
  1. (1) La frecuencia natural de correas síncronas se cambia modificando tensión de instalación, la velocidad de rotación de la polea, la longitud de la correa, el ancho de la correa, el número de dientes de la polea, etc.
  2. ② Cambiar a una correas síncronas de alta resistencia y reducir el ancho de la correa.
  3. ③ Reduzca el ancho de la correa y cambie a colgar en múltiples hebras.
  4. ④ Ajuste la alineación de poleas dentadas para correas para evitar que correas síncronas entre en contacto con la brida guía.
Volver a las preguntas
Q27 ¿Cumple con la directiva RoHS?
A27

Cumple con la directiva RoHS.

Volver a las preguntas
Q28 ¿Cuál es la eficiencia de transmisión de correas síncronas?
A28

El máximo es aproximadamente del 98%.

Volver a las preguntas
Q29 Rotura prematura correas síncronas
A29
外観の特長

[Características exteriores]

La correa se corta paralelamente a los dientes, y los alambres centrales también se cortan cortos y uniformes.

[Causa probable]

  1. ① El alambre central se rompió debido a una flexión excesiva durante el almacenamiento o el montaje.
  2. 2 El diámetro de la polea era demasiado pequeño, lo que provocó la rotura del cable central.

[contramedida]

  1. 1. Tenga cuidado al almacenar o ensamblar para evitar doblarlo excesivamente. No lo doble a un diámetro inferior a cuatro veces el paso.
  2. 2. Compruebe que los diámetros de poleas dentadas para correas y del rodillo tensor sean los adecuados. Si son demasiado pequeños, cámbielos por los diámetros correctos. Consulte poleas dentadas para correas en tabla de ratio de kW y el diámetro del rodillo tensor en la tabla siguiente.
曲げ限度の直径はピッチの4倍です。
  • Polea tensora interior: poleas dentadas para correas con al menos el número mínimo de dientes que se muestra en la tabla siguiente.
  • Polea tensora exterior: Una polea plana sin corona, con un diámetro al menos 1,2 veces mayor que el diámetro del círculo primitivo de la polea de la tabla siguiente.

■ Número mínimo de dientes de la polea al seleccionar una polea tensora

tipos Velocidad de rotación r/min
Menos de 900 Más de 900
Menos de 1200
Más de 1200
Menos de 1800
Más de 1800
3600 o menos
P2M 16 16 18 20
P3M・UP3M 14 14 16 18
P5M・UP5M 18 20 24 28
P8M・UP8M 24 26 26 28
P14M・UP14M 28 28 28 34

Nota: Para velocidades superiores a 3600 r/min, consulte la tabla de capacidad de transmisión estándar.

polea tensora interna

polea tensora interna

rueda tensora exterior

rueda tensora exterior

Volver a las preguntas
Q30 Dientes correas síncronas desgastados
A30
外観の特長 外観の特長

[Características exteriores]

  • La tela dentada se ha vuelto deshilachada, blanquecina y el tejido se ha vuelto borroso.
  • La tela dentada está desgastada y la goma está expuesta.
  • Los dientes de la correa se vuelven más finos.
  • La tela dentada en raíz del diente está desgastada y el alambre central está expuesto.

[Causa probable]

  1. 1. Se produce una sobrecarga.
  2. ② tensión de instalación excesiva.
  3. 3) tensión de instalación insuficiente.
  4. ④Capacidad insuficiente correas síncronas.
  5. ⑤ Perfil o dimensiones de los dientes de poleas dentadas para correas incorrectos.
  6. ⑥Usar en un ambiente polvoriento.

[contramedida]

  1. (1) Verifique las especificaciones del motor principal, la inercia de la máquina accionada y las condiciones de uso, y elimine la causa de la sobrecarga o aumente el tamaño de correas síncronas y la polea.
  2. ②Ajuste tensión de instalación al nivel apropiado.
  3. 3) Ajuste tensión de instalación al nivel apropiado.
  4. 4) Compruebe las condiciones de funcionamiento y seleccione el tamaño óptimo correas síncronas y polea.
  5. 5) Reemplace poleas dentadas para correas por una que tenga el perfil de dientes y las dimensiones correctas.
  6. ⑥ Evite que el polvo se adhiera a correas síncronas y a las poleas mejorando la atmósfera o instalando una cubierta.
Volver a las preguntas
Q31 Correas síncronas saltó dientes.
A31

[Causa probable]

  1. 1) Se produce una sobrecarga (carga de choque).
  2. 2. tensión de instalación insuficiente.
  3. 3) Número insuficiente de dientes de engranaje con poleas dentadas para correas.
  4. 4) Rigidez insuficiente del marco.

[contramedida]

  1. 1) Elimine la causa de la carga de choque, o instale un mecanismo amortiguador, o aumente el tamaño de correas síncronas.
  2. ②Ajuste tensión de instalación al nivel apropiado.
  3. 3) Aumente el número de dientes de poleas dentadas para correas o instale una polea tensora para aumentar el número de dientes de engranaje.
  4. ④ Aumentar la rigidez del soporte.
Volver a las preguntas
Q32 Fallo correas síncronas
A32

[Características exteriores]

  • Se han producido grietas en la base de los dientes de la correa.
  • Faltan los dientes de la correa.

[Causa probable]

Las causas sospechosas son las mismas que las de "Q30 Desgaste de los dientes correas síncronas" y "Q31 Salto de dientes correas síncronas". Si estas condiciones continúan, se producirá una fractura por cizallamiento.

[contramedida]

Consulte las contramedidas para "Q30 Desgaste de dientes correas síncronas" y "Q31 Salto de dientes correas síncronas", ya que son las mismas.

Volver a las preguntas
Q33 Desgaste lateral correas síncronas
A33
外観の特長

[Características exteriores]

  • Las esquinas de los lados son redondeadas.
  • La goma del lateral parece haberse desprendido.
  • El alambre central está deshilachado y expuesto.

[Causa probable]

  1. ①Paralelismo deficiente del eje.
  2. ② Desalineación poleas dentadas para correas.
  3. 3) Rigidez insuficiente del marco.
  4. ④ Deformación de poleas dentadas para correas.

[contramedida]

  1. ①Ajuste correctamente el paralelismo del eje.
  2. ② Ajuste poleas dentadas para correas a la posición correcta.
    Tamaño del cinturón Todas las variedades
    Ancho de la correa en mm 30 o menos 30~50 50~100 Más de 100
    Paralelismo admisible 5/1000 o menos 4/1000 o menos 3/1000 o menos 2/1000 o menos
    θ minutos 17 años o menos 13 o menos 10 o menos 6 o menos

    プーリ調整方法
    [Haga clic para ampliar]

    ■ Método de ajuste de poleas

    Como se muestra en la figura, se coloca un borde recto sobre la polea de referencia y las otras poleas se ponen en contacto con toda la superficie del borde recto (ε = 0), lo que permite alinear las poleas en la posición correcta.

    Además, al mantener δ en la figura por debajo del límite, es posible lograr simultáneamente el paralelismo del eje.

    プーリ調整方法
    [Haga clic para ampliar]

  3. 3) Aumentar la rigidez del soporte.
  4. ④Sustitúyalo por uno nuevo.
Volver a las preguntas
Q34 Arañazos verticales en correas síncronas
A34
外観の特長

[Características exteriores]

  • Hay un arañazo perpendicular a los dientes de la correa.

[Causa probable]

  1. 1) Pasar por encima del borde de poleas dentadas para correas.
  2. ② poleas dentadas para correas se desliza sobre la brida guía.

[contramedida]

  1. ① El paralelismo del eje o la posición poleas dentadas para correas es incorrecto, así que ajústelo a la posición correcta.
  2. 2. Si el paralelismo del eje o la posición poleas dentadas para correas es incorrecto, ajústelo a la posición correcta.

    Compruebe tensión de instalación y, si es insuficiente, ajústela a la tensión de instalación adecuada.

Volver a las preguntas
Q35 correas síncronas parcialmente cortada
A35
外観の特長

[Características exteriores]

  • Está parcialmente cortado.
  • Pueden encontrarse arañazos en la superficie del diente en zonas distintas a la del corte.

[Causa probable]

  1. 1) poleas dentadas para correas sube sobre la brida guía.
  2. 2. Se detectan objetos extraños.

[contramedida]

  1. 1) Si el paralelismo del eje o la posición poleas dentadas para correas es incorrecto, ajústelo a la posición correcta.

    Compruebe tensión de instalación y, si es insuficiente, ajústela a la tensión de instalación adecuada.

  2. ②Mejore la atmósfera o instale una cubierta para evitar que se adhieran materias extrañas a correas síncronas y a la polea.
Volver a las preguntas
Q36 Hinchazón correas síncronas
A36
外観の特長

[Características exteriores]

  • La goma está abultada.

[Causa probable]

  • La goma absorbió el aceite y la humedad que se habían adherido a correas síncronas.

[contramedida]

  • Para evitar que el aceite y la humedad se adhieran a correas síncronas, mejore el ambiente o instale una cubierta.
  • Es posible que sea posible reemplazarlo con la "Especificación de resistencia al aceite Correa Ultra PX", así que considere esto.
Volver a las preguntas
Q37 Aparente estiramiento de correas síncronas
A37

[Causa probable]

El movimiento de los ejes los acerca cada vez más.

[contramedida]

Asegure firmemente el eje.

Volver a las preguntas
Q38 Pegajosidad o ablandamiento de la goma en la parte posterior de correas síncronas
A38
外観の特長

[Características exteriores]

  • Hay goma reblandecida en la parte posterior de correas síncronas.
  • correas síncronas está pegajosa o blanda.

[Causa probable]

  1. ①El aceite se adhirió a correas síncronas y fue absorbido por la goma.
  2. ②Usar en atmósferas de alta temperatura.
  3. 3) Rotación deficiente de la rueda tensora exterior

[contramedida]

  1. ① Mejore la atmósfera o instale una cubierta para evitar que el aceite se adhiera a correas síncronas.

    Es posible que sea posible reemplazarlo con la "Especificación de resistencia al aceite Correa Ultra PX", así que considere esto.

  2. ② Reduzca la temperatura ambiente a 80 °C o menos.
  3. 3) Ajuste la polea tensora para que gire. Por ejemplo, reduzca la inercia de la polea tensora o aumente el tamaño del rodamiento.
Volver a las preguntas
Q39 Desgaste de la goma trasera correas síncronas
A39

[Características exteriores]

  • Hay una depresión en la superficie posterior paralela a la cara frontal.
  • La marca en la parte posterior ha desaparecido o está a punto de desaparecer.

[Causa probable]

  1. 1) Mala alineación del eje loco exterior.
  2. 2. La polea tensora exterior no gira correctamente.

[contramedida]

  1. ① El paralelismo del eje es incorrecto, así que ajústelo a la posición correcta.
  2. ② Ajuste la polea tensora para que gire. Por ejemplo, reduzca la inercia de la polea tensora o aumente el tamaño del rodamiento.
Volver a las preguntas
Q40 Grietas en la goma detrás correas síncronas
A40
外観の特長

[Características exteriores]

  • Hay una grieta en la parte posterior de correas síncronas paralela a los dientes.

[Causa probable]

  1. ①El diámetro de poleas dentadas para correas o del tensor que se está utilizando es demasiado pequeño.
  2. ② La temperatura ambiente es demasiado alta o demasiado baja.

[contramedida]

  1. ① Compruebe que el diámetro de poleas dentadas para correas y del tensor sea el adecuado. Si es demasiado pequeño, cámbielo por uno con el diámetro apropiado.

    (Compruebe poleas dentadas para correas en tabla de ratio de kW y el diámetro de la polea tensora en la tabla siguiente).

    • Polea tensora interior: poleas dentadas para correas con al menos el número mínimo de dientes que se muestra en la tabla siguiente.
    • Polea tensora exterior: Una polea plana sin corona, con un diámetro al menos 1,2 veces mayor que el diámetro del círculo primitivo de la polea de la tabla siguiente.

    ■ Número mínimo de dientes de la polea al seleccionar una polea tensora

    tipos Velocidad de rotación r/min
    Menos de 900 Más de 900
    Menos de 1200
    Más de 1200
    Menos de 1800
    Más de 1800
    3600 o menos
    P2M 16 16 18 20
    P3M・UP3M 14 14 16 18
    P5M・UP5M 18 20 24 28
    P8M・UP8M 24 26 26 28
    P14M・UP14M 28 28 28 34

    Nota: Para velocidades superiores a 3600 r/min, consulte la tabla de capacidad de transmisión estándar.

    polea tensora interna

    polea tensora interna

    rueda tensora exterior

    rueda tensora exterior

  2. ②Mejorar la temperatura ambiente a -15 ℃ a 80 ℃, punto en el que se puede utilizar correas síncronas.
Volver a las preguntas
Q41 Desgaste de los dientes poleas dentadas para correas
A41
外観の特長

[Características exteriores]

  • La pieza que engrana con correas síncronas se ha desgastado, creando un escalón donde no engrana.
  • La superficie del diente es rugosa.

[Causa probable]

  1. 1) poleas dentadas para correas es inadecuado.
  2. ② Se utilizó en un ambiente polvoriento y funcionó con polvo abrasivo adherido a correas síncronas y a la polea.
  3. 3) correas síncronas tensión de instalación de la correa de distribución era demasiado alta.

[contramedida]

  1. 1) Cambiar a un material con mayor dureza, endurecer la superficie del diente o realizar un tratamiento superficial para mejorar la resistencia al desgaste.
  2. ②Mejore el entorno operativo o instale una cubierta para evitar que se adhiera el polvo.
  3. 3) Ajuste tensión de instalación al nivel apropiado.
Volver a las preguntas
Q42 ¿Cuál es el rango medible?
A42

correas síncronas para el BDTM101 es de 30 a 600 Hz, y para el BDTM201 es de 10 a 5000 Hz.
Si el intervalo de medición es demasiado corto o demasiado largo, la frecuencia de vibración puede estar fuera del rango medible y, por lo tanto, no ser detectable.

Volver a las preguntas
Q43 Me gustaría probarlo antes de comprarlo, ¿ofrecen alquileres?
A43

Ofrecemos unidades de demostración en préstamo. Para más información, póngase en contacto con nuestro servicio de atención al cliente.

Volver a las preguntas
Q44 ¿Puedes revisarlo?
A44

Este servicio tiene un coste adicional. Consulte con un distribuidor autorizado de nuestros productos.

Volver a las preguntas
Q45 ¿Cuál es el período de calibración adecuado?
A45

Por favor, ajuste el intervalo de calibración según sus propios estándares y criterio.

Volver a las preguntas
Q46 ¿De qué material está hecho?
A46

Aluminio de alta resistencia con acabado de alúmina blanco.

Volver a las preguntas
Q47 ¿Pueden fabricar productos a medida que no figuren en el catálogo?
A47

Analizaremos si es posible fabricar el producto, así que póngase en contacto con un distribuidor que trabaje con nuestros productos y adjunte sus planos.

Volver a las preguntas