Preguntas y respuestas Portacables (CABLEVEYOR)
Hemos publicado preguntas frecuentes de nuestros clientes en formato de preguntas y respuestas. Haga clic en la pregunta para acceder a la respuesta.
Portacables (CABLEVEYOR)
Palabras en preguntas y respuestasde

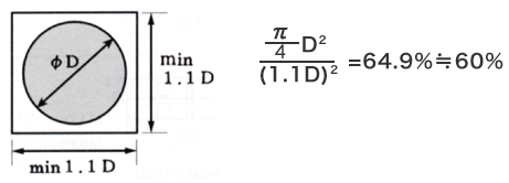
| Q1 | ¿Cuál es el concepto (relación de volumen) para el área de almacenamiento de cables y mangueras de Portacables (CABLEVEYOR) Serie de plástico? | |||||||||||||||||||||||||||||||||||||||||||||||||||||||||||||||||||||||||||||||||||||||||||||||||||||||||||||||||||||||||||||||||||||||||||||||||||||||||||||||||||||||||||||||||||||||
|---|---|---|---|---|---|---|---|---|---|---|---|---|---|---|---|---|---|---|---|---|---|---|---|---|---|---|---|---|---|---|---|---|---|---|---|---|---|---|---|---|---|---|---|---|---|---|---|---|---|---|---|---|---|---|---|---|---|---|---|---|---|---|---|---|---|---|---|---|---|---|---|---|---|---|---|---|---|---|---|---|---|---|---|---|---|---|---|---|---|---|---|---|---|---|---|---|---|---|---|---|---|---|---|---|---|---|---|---|---|---|---|---|---|---|---|---|---|---|---|---|---|---|---|---|---|---|---|---|---|---|---|---|---|---|---|---|---|---|---|---|---|---|---|---|---|---|---|---|---|---|---|---|---|---|---|---|---|---|---|---|---|---|---|---|---|---|---|---|---|---|---|---|---|---|---|---|---|---|---|---|---|---|---|---|
| A1 |
Instale los cables y mangueras en fila horizontal e instale separadores si los tienen. El volumen de almacenamiento de cables y mangueras debe ser del 60 % o menos; incluso si se encuentra dentro de este rango, evite apilarlos en varias capas, ya que esto puede provocar un desgaste prematuro del aislamiento o roturas. Para los tipos TKP, TKC, TKMK, TKMT, TKR, TKQ y TKUAEl área de almacenamiento de cables se determina comprobando el espacio transversal en función del diámetro exterior y la cantidad de cables y mangueras. Si es posible instalar placas divisorias, se puede instalar la cantidad necesaria. 1) La separación entre el diámetro exterior y el ancho interior del cable/manguera debe ser de al menos 2 mm o el 10% del diámetro del cable/manguera, el que sea mayor. 2) Instale los cables y mangueras en una sola fila horizontal. Apilar cables y mangueras en varias capas puede provocar que el aislamiento se desgaste o se rompa. 3) Introduzca el cable o la manguera hasta un volumen del 60% o menos del volumen interno. (Consulte el diagrama a continuación). 4) El número de cables y mangueras debe estar dentro del rango que no aplique una fuerza excesiva a los cables y mangueras. 5) Si la unidad tiene separadores, instálelos. Determine la cantidad de separadores necesarios para que, si es posible, quepa un cable por cada orificio. 6) Número de particiones 7) La placa divisoria está parcialmente alimentada. El concepto detrás de una proporción de volumen de almacenamiento del 60% para cables y mangueras
Almacenamiento de cables y mangueras mediante separadoresSi se apilan varios cables y mangueras directamente unos encima de otros y tienen la misma longitud, los cables se aplastan en la curva R como se muestra en la figura (1) siguiente (al tener la misma longitud, es imposible la rotación externa). Para evitar este fenómeno, utilice un divisor como el que se muestra en la figura (2) a continuación y haga que los cables y mangueras de la sección superior sean más largos que los de la sección inferior por la diferencia radio de curvatura para que los cables y mangueras no se rocen directamente entre sí.
|
|||||||||||||||||||||||||||||||||||||||||||||||||||||||||||||||||||||||||||||||||||||||||||||||||||||||||||||||||||||||||||||||||||||||||||||||||||||||||||||||||||||||||||||||||||||||
| Q2 | ¿Cuál es el intervalo de instalación de las placas divisorias de la Serie de plástico Portacables (CABLEVEYOR) de plástico? | |||||||||||||||||||||||||||||||||||||||||||||||||||||||||||||||||||||||||||||||||||||||||||||||||||||||||||||||||||||||||||||||||||||||||||||||||||||||||||||||||||||||||||||||||||||||
| A2 |
Instálelo cada dos eslabones. Sin embargo, dado que estructuralmente es posible instalarlo en cada eslabón, si encuentra mucha resistencia por la manguera u otros elementos y le preocupa que la placa divisoria se desprenda, instálelo en cada eslabón. Volver a las preguntas |
|||||||||||||||||||||||||||||||||||||||||||||||||||||||||||||||||||||||||||||||||||||||||||||||||||||||||||||||||||||||||||||||||||||||||||||||||||||||||||||||||||||||||||||||||||||||
| Q3 | ¿Qué son longitud de recorrido, el tramo libre, longitud libre, radio de curvatura y el rodillo de apoyo? | |||||||||||||||||||||||||||||||||||||||||||||||||||||||||||||||||||||||||||||||||||||||||||||||||||||||||||||||||||||||||||||||||||||||||||||||||||||||||||||||||||||||||||||||||||||||
| A3 |
|
|||||||||||||||||||||||||||||||||||||||||||||||||||||||||||||||||||||||||||||||||||||||||||||||||||||||||||||||||||||||||||||||||||||||||||||||||||||||||||||||||||||||||||||||||||||||
| Q4 | ¿De qué material está hecha Portacables (CABLEVEYOR) Serie de plástico? | |||||||||||||||||||||||||||||||||||||||||||||||||||||||||||||||||||||||||||||||||||||||||||||||||||||||||||||||||||||||||||||||||||||||||||||||||||||||||||||||||||||||||||||||||||||||
| A4 |
Los tipos TKP, TKC, TKMK, TKMT y TKR son todos plásticos de ingeniería basados en resina de poliamida. Las especificaciones de baja fricción y bajo desgaste de TKP se basan en resina de poliacetal. Para el tipo TKQ (anteriormente tipo TKE), solo las bandas laterales están hechas de polipropileno. Volver a las preguntas |
|||||||||||||||||||||||||||||||||||||||||||||||||||||||||||||||||||||||||||||||||||||||||||||||||||||||||||||||||||||||||||||||||||||||||||||||||||||||||||||||||||||||||||||||||||||||
| Q5 | ¿Cuál es la resistencia química de la Serie de plástico Portacables (CABLEVEYOR) Plastic? | |||||||||||||||||||||||||||||||||||||||||||||||||||||||||||||||||||||||||||||||||||||||||||||||||||||||||||||||||||||||||||||||||||||||||||||||||||||||||||||||||||||||||||||||||||||||
| A5 |
La Serie de plástico Portacables (CABLEVEYOR) Plastic utiliza plástico de ingeniería (plástico de ingeniería) que tiene una excelente resistencia química. Al seleccionar Portacables (CABLEVEYOR), consulte la siguiente tabla para ver si el material tiene suficiente resistencia química a diversos solventes para los plásticos de ingeniería utilizados en Portacables (CABLEVEYOR) Serie de plástico.
* Los plásticos de ingeniería se refieren al material de plástico de ingeniería (abreviado como "enpla") utilizado en los enlaces del cuerpo principal de nuestra Serie de plástico Portacables (CABLEVEYOR) e indican la resistencia química del material. * La Serie de plástico Portacables (CABLEVEYOR) de plástico generalmente consta de un cuerpo de plástico de ingeniería y accesorios de acero en ambos extremos. Volver a las preguntas |
|||||||||||||||||||||||||||||||||||||||||||||||||||||||||||||||||||||||||||||||||||||||||||||||||||||||||||||||||||||||||||||||||||||||||||||||||||||||||||||||||||||||||||||||||||||||
| Q6 | ¿Cuál es la resistencia al fuego de la Serie de plástico Portacables (CABLEVEYOR) Plastic? | |||||||||||||||||||||||||||||||||||||||||||||||||||||||||||||||||||||||||||||||||||||||||||||||||||||||||||||||||||||||||||||||||||||||||||||||||||||||||||||||||||||||||||||||||||||||
| A6 |
Las características de retardancia al fuego de nuestra Serie de plástico Portacables (CABLEVEYOR) (TKP, TKR, TKUA, TKC, TKMK, TKMT*) se basan en la norma UL (Underwriters Laboratories Standards), que es una prueba de seguridad de resistencia al fuego para productos plásticos. Se utilizan materiales plásticos equivalentes a la norma UL94HB. También podemos fabricar especificaciones de retardancia al fuego equivalentes a la norma UL94V-0; contáctenos para obtener más información. *Excepto algunos tamaños. Haga clic aquí para ver la hoja de solicitud de selección Volver a las preguntas |
|||||||||||||||||||||||||||||||||||||||||||||||||||||||||||||||||||||||||||||||||||||||||||||||||||||||||||||||||||||||||||||||||||||||||||||||||||||||||||||||||||||||||||||||||||||||
| Q7 | ¿Se pueden utilizar Portacables (CABLEVEYOR) en exteriores? | |||||||||||||||||||||||||||||||||||||||||||||||||||||||||||||||||||||||||||||||||||||||||||||||||||||||||||||||||||||||||||||||||||||||||||||||||||||||||||||||||||||||||||||||||||||||
| A7 |
Generalmente se recomienda para uso en interiores, pero también se ha utilizado en exteriores. |
|||||||||||||||||||||||||||||||||||||||||||||||||||||||||||||||||||||||||||||||||||||||||||||||||||||||||||||||||||||||||||||||||||||||||||||||||||||||||||||||||||||||||||||||||||||||
| Q8 | ¿Se puede utilizar el soporte del extremo móvil en el extremo soporte de extremo fijo y viceversa? | |||||||||||||||||||||||||||||||||||||||||||||||||||||||||||||||||||||||||||||||||||||||||||||||||||||||||||||||||||||||||||||||||||||||||||||||||||||||||||||||||||||||||||||||||||||||
| A8 |
Fije el soporte del extremo móvil al extremo móvil y soporte de extremo fijo al extremo fijo según se especifica. Sin embargo, se pueden utilizar los modelos TKP91H80, TKMK y TKH250 aunque no estén especificados. (No se pueden utilizar productos con formas especiales ni productos con especificaciones disposición deslizante). Volver a las preguntas |
|||||||||||||||||||||||||||||||||||||||||||||||||||||||||||||||||||||||||||||||||||||||||||||||||||||||||||||||||||||||||||||||||||||||||||||||||||||||||||||||||||||||||||||||||||||||
| Q9 | ¿Existen Portacables (CABLEVEYOR) adecuados para salas blancas? | |||||||||||||||||||||||||||||||||||||||||||||||||||||||||||||||||||||||||||||||||||||||||||||||||||||||||||||||||||||||||||||||||||||||||||||||||||||||||||||||||||||||||||||||||||||||
| A9 |
El "CLEANVEYOR" de Tsubaki, con la menor generación de polvo, el sistema de cable plano autónomo "FLATVEYOR", ideal para equipos de producción en masa, la "especificación FLATVEYOR ZP", que facilita el cambio o la instalación posterior de cables, y el "tipo TKR", que genera poco polvo y ruido debido a la flexión. También existe la especificación TKP-MW, el tipo TKP más versátil, que utiliza un material plástico de ingeniería de alto deslizamiento y contribuye a una mejor protección y limpieza de los cables. Volver a las preguntas |
|||||||||||||||||||||||||||||||||||||||||||||||||||||||||||||||||||||||||||||||||||||||||||||||||||||||||||||||||||||||||||||||||||||||||||||||||||||||||||||||||||||||||||||||||||||||
| Q10 | ¿Puedo comprar piezas como pasadores para Portacables (CABLEVEYOR)? | |||||||||||||||||||||||||||||||||||||||||||||||||||||||||||||||||||||||||||||||||||||||||||||||||||||||||||||||||||||||||||||||||||||||||||||||||||||||||||||||||||||||||||||||||||||||
| A10 |
Muchas piezas, como los brazos TKP y TKC, los pasadores tipo TK y los anillos de retención, se pueden comprar individualmente. |
|||||||||||||||||||||||||||||||||||||||||||||||||||||||||||||||||||||||||||||||||||||||||||||||||||||||||||||||||||||||||||||||||||||||||||||||||||||||||||||||||||||||||||||||||||||||
| Q11 | ¿Cuál es la diferencia entre el modelo antiguo TKP0450 y el TKP45H25? | |||||||||||||||||||||||||||||||||||||||||||||||||||||||||||||||||||||||||||||||||||||||||||||||||||||||||||||||||||||||||||||||||||||||||||||||||||||||||||||||||||||||||||||||||||||||
| A11 |
El modelo antiguo TKP0450 cuenta con un modelo antiguo y uno nuevo. La venta del modelo antiguo TKP0450 se interrumpió a finales de septiembre de 2002.
Comparación de características, funciones y rendimiento del nuevo modelo TKP0450 (número de modelo actual TKP45H25)Para obtener más detalles, haga clic aquí (PDF). Compatibilidad del nuevo modelo TKP0450 (número de modelo actual TKP45H25)Puntos importantes a tener en cuenta al migrar del modelo antiguo al nuevo (número de modelo actual TKP45H25) 1. Modelo antiguo (modelo de apertura/cierre) ⇒ Modelo nuevo (número de modelo actual TKP45H25) Consulte la tabla de comparación a continuación para conocer la compatibilidad de la unidad principal y el hardware. Al realizar la sustitución, tenga en cuenta los siguientes puntos.
2. Modelo antiguo (modelo integrado) ⇒ Modelo nuevo (número de modelo actual TKP45H25) Consulte la tabla de comparación a continuación para conocer la compatibilidad de la unidad principal y el hardware. Diferencias entre dimensiones nuevas y antiguas Las dimensiones de algunos números de modelo son ligeramente diferentes. W58, W78 y W103 tienen un ancho exterior 4 mm mayor que el del modelo actual, por lo que se debe tener cuidado al reemplazarlos. 3. Tabla de comparación de tamaños de modelos nuevos y antiguos
◎Compatible (las dimensiones internas son compatibles con dimensiones iguales o mayores que las especificaciones anteriores, las dimensiones externas son compatibles con dimensiones iguales o menores que las especificaciones anteriores) 〇 Los modelos compatibles requieren precaución (aunque las dimensiones son aproximadamente las mismas, las dimensiones externas son ligeramente más grandes, así que tenga cuidado con las interferencias con dispositivos periféricos) △Tenga cuidado de no interferir con los dispositivos periféricos durante la instalación, ya que las dimensiones son significativamente diferentes. ×No compatible |
|||||||||||||||||||||||||||||||||||||||||||||||||||||||||||||||||||||||||||||||||||||||||||||||||||||||||||||||||||||||||||||||||||||||||||||||||||||||||||||||||||||||||||||||||||||||
| Q12 | ¿Cumple Portacables (CABLEVEYOR) con la Directiva RoHS? | |||||||||||||||||||||||||||||||||||||||||||||||||||||||||||||||||||||||||||||||||||||||||||||||||||||||||||||||||||||||||||||||||||||||||||||||||||||||||||||||||||||||||||||||||||||||
| A12 |
Todos nuestros Portacables (CABLEVEYOR) (excepto algunos accesorios) cumplen con la Directiva RoHS. Volver a las preguntas |
|||||||||||||||||||||||||||||||||||||||||||||||||||||||||||||||||||||||||||||||||||||||||||||||||||||||||||||||||||||||||||||||||||||||||||||||||||||||||||||||||||||||||||||||||||||||
| Q13 | ¿Qué números de modelo han sufrido cambios en sus especificaciones hasta el momento? | |||||||||||||||||||||||||||||||||||||||||||||||||||||||||||||||||||||||||||||||||||||||||||||||||||||||||||||||||||||||||||||||||||||||||||||||||||||||||||||||||||||||||||||||||||||||
| A13 |
■ Lista de cambios en las especificaciones
*1 Dependiendo del período de tiempo, el producto puede tener especificaciones anteriores.
*1 Dependiendo del período de tiempo, el producto puede tener especificaciones anteriores.
*1 Dependiendo del período de tiempo, el producto puede tener especificaciones anteriores.
*1 Dependiendo del período de tiempo, el producto puede tener especificaciones anteriores. Volver a las preguntas |
|||||||||||||||||||||||||||||||||||||||||||||||||||||||||||||||||||||||||||||||||||||||||||||||||||||||||||||||||||||||||||||||||||||||||||||||||||||||||||||||||||||||||||||||||||||||
| Q14 | ¿Vendéis los modelos TKP0320, TKP0625 y TKP0625H, que no figuran en el catálogo? | |||||||||||||||||||||||||||||||||||||||||||||||||||||||||||||||||||||||||||||||||||||||||||||||||||||||||||||||||||||||||||||||||||||||||||||||||||||||||||||||||||||||||||||||||||||||
| A14 |
Las ventas cesaron en 2015. Haz clic aquí para ver una lista de números de modelo y dimensiones de productos alternativos. Volver a las preguntas |
|||||||||||||||||||||||||||||||||||||||||||||||||||||||||||||||||||||||||||||||||||||||||||||||||||||||||||||||||||||||||||||||||||||||||||||||||||||||||||||||||||||||||||||||||||||||
| Q15 | ¿Se puede cortar o empalmar Portacables (CABLEVEYOR)? | |||||||||||||||||||||||||||||||||||||||||||||||||||||||||||||||||||||||||||||||||||||||||||||||||||||||||||||||||||||||||||||||||||||||||||||||||||||||||||||||||||||||||||||||||||||||
| A15 |
Todos los Serie de plástico Portacables (CABLEVEYOR) se pueden cortar y empalmar utilizando un destornillador de punta plana y un martillo de plástico. Para obtener más detalles, consulte manuales de instrucciones. Volver a las preguntas |
|||||||||||||||||||||||||||||||||||||||||||||||||||||||||||||||||||||||||||||||||||||||||||||||||||||||||||||||||||||||||||||||||||||||||||||||||||||||||||||||||||||||||||||||||||||||
| Q16 | ¿Cuál es la diferencia entre la altura de instalación (H') y la altura total (H)? | |||||||||||||||||||||||||||||||||||||||||||||||||||||||||||||||||||||||||||||||||||||||||||||||||||||||||||||||||||||||||||||||||||||||||||||||||||||||||||||||||||||||||||||||||||||||
| A16 |
Portacables (CABLEVEYOR) tiene una ligera protuberancia para compensar la deflexión causada por el peso del cuerpo principal y el cable, por lo que debe instalarse a la altura de instalación H' en lugar de a la altura total H Portacables (CABLEVEYOR). |
|||||||||||||||||||||||||||||||||||||||||||||||||||||||||||||||||||||||||||||||||||||||||||||||||||||||||||||||||||||||||||||||||||||||||||||||||||||||||||||||||||||||||||||||||||||||
| Q17 | ¿Qué efecto tiene instalarlo a la altura total en lugar de a la altura de instalación? | |||||||||||||||||||||||||||||||||||||||||||||||||||||||||||||||||||||||||||||||||||||||||||||||||||||||||||||||||||||||||||||||||||||||||||||||||||||||||||||||||||||||||||||||||||||||
| A17 |
Si se presiona con fuerza la protuberancia para accionarla, se aplicará una fuerza excesiva cerca del final del movimiento. |
|||||||||||||||||||||||||||||||||||||||||||||||||||||||||||||||||||||||||||||||||||||||||||||||||||||||||||||||||||||||||||||||||||||||||||||||||||||||||||||||||||||||||||||||||||||||
| Q18 | ¿Cuál es el espacio requerido? | |||||||||||||||||||||||||||||||||||||||||||||||||||||||||||||||||||||||||||||||||||||||||||||||||||||||||||||||||||||||||||||||||||||||||||||||||||||||||||||||||||||||||||||||||||||||
| A18 |
La sección libre puede expandirse o contraerse según las condiciones de uso y la atmósfera. Asegúrese de disponer de espacio suficiente. (El espacio necesario varía según el modelo). Haz clic aquí para obtener detalles sobre el espacio necesario (dimensión S). Volver a las preguntas |
|||||||||||||||||||||||||||||||||||||||||||||||||||||||||||||||||||||||||||||||||||||||||||||||||||||||||||||||||||||||||||||||||||||||||||||||||||||||||||||||||||||||||||||||||||||||
| Q19 | ¿A qué debo prestar atención al usar especificaciones disposición deslizante? | |||||||||||||||||||||||||||||||||||||||||||||||||||||||||||||||||||||||||||||||||||||||||||||||||||||||||||||||||||||||||||||||||||||||||||||||||||||||||||||||||||||||||||||||||||||||
| A19 |
Para obtener más detalles, consulte datos técnicos "Manipulación Portacables (CABLEVEYOR)- Sección: Precauciones al instalar rieles disposición deslizante". Volver a las preguntas |
|||||||||||||||||||||||||||||||||||||||||||||||||||||||||||||||||||||||||||||||||||||||||||||||||||||||||||||||||||||||||||||||||||||||||||||||||||||||||||||||||||||||||||||||||||||||
| Q20 | ¿En qué formato de embalaje vendrá el portacables si pido Portacables (CABLEVEYOR) y los accesorios (soportes de montaje, separadores, etc.) al mismo tiempo? | |||||||||||||||||||||||||||||||||||||||||||||||||||||||||||||||||||||||||||||||||||||||||||||||||||||||||||||||||||||||||||||||||||||||||||||||||||||||||||||||||||||||||||||||||||||||
| A20 |
El cuerpo principal y los accesorios, como el extremo móvil, el extremo fijo y la placa divisoria, se embalan y envían como un solo conjunto en la misma caja. Ejemplo de pedido TKP45H25-30W38R50+20L-FOA-MOA x 6H (20L + soporte de extremo fijo FOA + soporte de extremo móvil MOA x 6) TKP45H25-ST x 60K (60 separadores verticales)
|
|||||||||||||||||||||||||||||||||||||||||||||||||||||||||||||||||||||||||||||||||||||||||||||||||||||||||||||||||||||||||||||||||||||||||||||||||||||||||||||||||||||||||||||||||||||||
| Q21 | ¿Se pueden utilizar CLEANVEYOR y FLATVEYOR en varias etapas? | |||||||||||||||||||||||||||||||||||||||||||||||||||||||||||||||||||||||||||||||||||||||||||||||||||||||||||||||||||||||||||||||||||||||||||||||||||||||||||||||||||||||||||||||||||||||
| A21 |
CLEANVEYOR se pueden apilar hasta en seis niveles. No se recomienda apilar FLATVEYOR, ya que los productos podrían deslizarse entre sí y generar polvo. Volver a las preguntas |
|||||||||||||||||||||||||||||||||||||||||||||||||||||||||||||||||||||||||||||||||||||||||||||||||||||||||||||||||||||||||||||||||||||||||||||||||||||||||||||||||||||||||||||||||||||||
| Q22 | ¿Se puede utilizar FLATVEYOR ZP en múltiples etapas? | |||||||||||||||||||||||||||||||||||||||||||||||||||||||||||||||||||||||||||||||||||||||||||||||||||||||||||||||||||||||||||||||||||||||||||||||||||||||||||||||||||||||||||||||||||||||
| A22 |
Es posible en ciertas condiciones. Sin embargo, no se recomienda en entornos limpios, ya que los productos resbalan entre sí y pueden generar polvo. Volver a las preguntas |
|||||||||||||||||||||||||||||||||||||||||||||||||||||||||||||||||||||||||||||||||||||||||||||||||||||||||||||||||||||||||||||||||||||||||||||||||||||||||||||||||||||||||||||||||||||||
| Q23 | ¿Puedo utilizar FLATVEYOR ZP en FLATVEYOR? | |||||||||||||||||||||||||||||||||||||||||||||||||||||||||||||||||||||||||||||||||||||||||||||||||||||||||||||||||||||||||||||||||||||||||||||||||||||||||||||||||||||||||||||||||||||||
| A23 |
Sí, es posible. Se pueden utilizar bloques en L para montar FLATVEYOR. Volver a las preguntas |
|||||||||||||||||||||||||||||||||||||||||||||||||||||||||||||||||||||||||||||||||||||||||||||||||||||||||||||||||||||||||||||||||||||||||||||||||||||||||||||||||||||||||||||||||||||||
| Q24 | ¿Está bien instalarlo por debajo de la altura de instalación (H') indicada en el catálogo o en el plano de cotización? | |||||||||||||||||||||||||||||||||||||||||||||||||||||||||||||||||||||||||||||||||||||||||||||||||||||||||||||||||||||||||||||||||||||||||||||||||||||||||||||||||||||||||||||||||||||||
| A24 |
Instale el producto dentro de la altura recomendada. Si se instala a una altura inferior, se inhibirá la expansión y existe el riesgo de rotura prematura. Volver a las preguntas |
|||||||||||||||||||||||||||||||||||||||||||||||||||||||||||||||||||||||||||||||||||||||||||||||||||||||||||||||||||||||||||||||||||||||||||||||||||||||||||||||||||||||||||||||||||||||
| Q25 | No puedo asegurar el espacio requerido (ancho) (alto) para FLATVEYOR ZP. ¿Puedo usarlo? | |||||||||||||||||||||||||||||||||||||||||||||||||||||||||||||||||||||||||||||||||||||||||||||||||||||||||||||||||||||||||||||||||||||||||||||||||||||||||||||||||||||||||||||||||||||||
| A25 |
Por favor, consulte si es posible. El espacio requerido (ancho) y (alto) se determinan considerando los siguientes factores: [Espacio requerido (ancho)] Debido a la deformación del tubo de apertura y cierre, la sección doblada puede expandirse a lo ancho (aproximadamente 5 mm por tubo de apertura y cierre). [Espacio requerido (alto)] Debido a la fuerza de repulsión del cable y el tubo, la sección doblada puede ser mayor que la altura de instalación. Volver a las preguntas |
|||||||||||||||||||||||||||||||||||||||||||||||||||||||||||||||||||||||||||||||||||||||||||||||||||||||||||||||||||||||||||||||||||||||||||||||||||||||||||||||||||||||||||||||||||||||
| Q26 | ¿Cómo solicito CLEANVEYOR? | |||||||||||||||||||||||||||||||||||||||||||||||||||||||||||||||||||||||||||||||||||||||||||||||||||||||||||||||||||||||||||||||||||||||||||||||||||||||||||||||||||||||||||||||||||||||
| A26 |
Por favor, rellene las condiciones de uso en la hoja de solicitud de selección y póngase en contacto con nosotros. Haga clic aquí para ver la hoja de solicitud de selección Volver a las preguntas |
|||||||||||||||||||||||||||||||||||||||||||||||||||||||||||||||||||||||||||||||||||||||||||||||||||||||||||||||||||||||||||||||||||||||||||||||||||||||||||||||||||||||||||||||||||||||
| Q27 | Respecto a FLATVEYOR ZP, ¿se puede aumentar la cantidad de material de soporte o extender longitud de recorrido aumentando el número de elementos de soporte? | |||||||||||||||||||||||||||||||||||||||||||||||||||||||||||||||||||||||||||||||||||||||||||||||||||||||||||||||||||||||||||||||||||||||||||||||||||||||||||||||||||||||||||||||||||||||
| A27 |
Al adoptar un nuevo producto, es posible que se pueda aumentar el número de soportes y extender la carrera más allá de los valores de catálogo, dependiendo de las condiciones de uso, como la cantidad de material de soporte y la aceleración. Para obtener más información, complete las condiciones de uso en la hoja de solicitud de selección y contáctenos. Haga clic aquí para ver la hoja de solicitud de selección Volver a las preguntas |
|||||||||||||||||||||||||||||||||||||||||||||||||||||||||||||||||||||||||||||||||||||||||||||||||||||||||||||||||||||||||||||||||||||||||||||||||||||||||||||||||||||||||||||||||||||||
| Q28 | Si se almacenan varios soportes en el tubo de apertura/cierre de FLATVEYOR ZP, ¿se deslizarán los soportes entre sí o saldrá polvo de desgaste? | |||||||||||||||||||||||||||||||||||||||||||||||||||||||||||||||||||||||||||||||||||||||||||||||||||||||||||||||||||||||||||||||||||||||||||||||||||||||||||||||||||||||||||||||||||||||
| A28 |
Aunque se produce deslizamiento, se realizaron pruebas similares internamente y no se confirmó ninguna rotura por deslizamiento. FLATVEYOR ZP recomienda almacenar un cable o tubo por cada tubo abierto/cerrado, pero se han establecido estándares para almacenar varios tubos, considerando la comodidad y las situaciones de uso práctico. Para más detalles, consulte la página 10 del catálogo de la Serie Clean. Volver a las preguntas |
|||||||||||||||||||||||||||||||||||||||||||||||||||||||||||||||||||||||||||||||||||||||||||||||||||||||||||||||||||||||||||||||||||||||||||||||||||||||||||||||||||||||||||||||||||||||
| Q29 | ¿Se pueden tratar los soportes para FLATVEYOR ZP con anodizado u otros tratamientos de superficie? | |||||||||||||||||||||||||||||||||||||||||||||||||||||||||||||||||||||||||||||||||||||||||||||||||||||||||||||||||||||||||||||||||||||||||||||||||||||||||||||||||||||||||||||||||||||||
| A29 |
Sí, es posible. Sin embargo, dado que la placa y sus pernos de fijación son de acero inoxidable, también podemos ofrecer tratamientos superficiales especiales, como el anodizado, solo para el bloque en L. Hay algunos tratamientos superficiales que no podemos ofrecer, así que contáctenos para obtener más información. Volver a las preguntas |
|||||||||||||||||||||||||||||||||||||||||||||||||||||||||||||||||||||||||||||||||||||||||||||||||||||||||||||||||||||||||||||||||||||||||||||||||||||||||||||||||||||||||||||||||||||||
| Q30 | Respecto a FLATVEYOR ZP, si se acopla un tubo de apertura y cierre de repuesto en previsión de añadir un soporte, ¿se puede utilizar vacío? | |||||||||||||||||||||||||||||||||||||||||||||||||||||||||||||||||||||||||||||||||||||||||||||||||||||||||||||||||||||||||||||||||||||||||||||||||||||||||||||||||||||||||||||||||||||||
| A30 |
No habrá ningún problema si lo utiliza dentro de las condiciones que se muestran en gráfico de carga admisible. Volver a las preguntas |
|||||||||||||||||||||||||||||||||||||||||||||||||||||||||||||||||||||||||||||||||||||||||||||||||||||||||||||||||||||||||||||||||||||||||||||||||||||||||||||||||||||||||||||||||||||||
| Q31 | ¿Es posible solicitar la instalación de conectores de cables y tubos para CLEANVEYOR y FLATVEYOR? | |||||||||||||||||||||||||||||||||||||||||||||||||||||||||||||||||||||||||||||||||||||||||||||||||||||||||||||||||||||||||||||||||||||||||||||||||||||||||||||||||||||||||||||||||||||||
| A31 |
Sí. Adjunte un plano del arnés al enviar su consulta. Aunque proporcione un cable con conectores en ambos extremos, no podrá instalarlo en CLEANVEYOR. Volver a las preguntas |
|||||||||||||||||||||||||||||||||||||||||||||||||||||||||||||||||||||||||||||||||||||||||||||||||||||||||||||||||||||||||||||||||||||||||||||||||||||||||||||||||||||||||||||||||||||||
